Prépare-toi à progresser en SVT avec ces exercices niveau 3ème : "Parenté et évolution des êtres vivants". Conçu pour renforcer les notions clés vues en cours, cet entraînement te permet de t’exercer à ton rythme. Idéal pour réviser efficacement et gagner en confiance. À toi de jouer !
Le schéma ci-dessous représente un arbre phylogénétique. Les traits noirs horizontaux représentent des caractères.
Que montre un arbre phylogénétique ?
Le tableau ci-dessous montre des liens de parenté entre différents animaux.
|
Plumes |
Poils |
Écailles soudées |
4 membres |
Vertèbres cervicales avec apophyse centrale |
Production d’acide ornithurique1 |
Crocodile |
| | • | • | • | • |
Tortue |
| | • | • | • | • |
Oiseaux | • | | • | • | • | • |
Lapin | | • | | • | | |
Chat | | • | | • | | |
1 Substance blanche faisant office « d’urine ».
Comment nomme-t-on les caractères mentionnés à la ligne 1 (plumes, poils…) ?
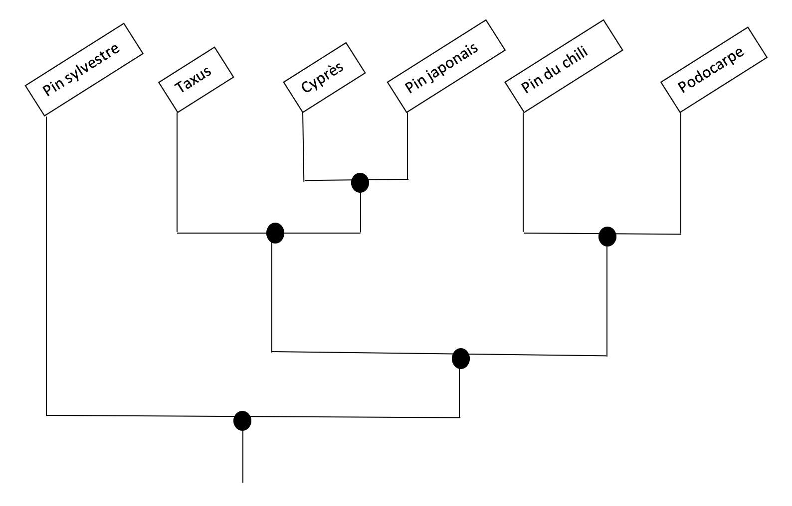
Les conifères sont représentés par de nombreuses espèces d’arbres. Ils sont largement répandus à la surface de notre planète.
Ci-dessous se trouvent deux documents. Le premier illustre quelques espèces de conifères, le second est l’arbre phylogénétique du vivant.
Document 1
Document 2
Que représente le document 1 ?